Госдолг Владимирской области к 2029 году превысит 33 млрд рублей

Правительство Владимирской области продолжает наращивать долги. По состоянию на 1 октября госдолг региона превысил отметку в 15 млрд рублей. За последние четыре года, которые Александр Авдеев возглавляет регион, суммарный прирост кредитной задолженности составил более 10 млрд рублей.
По данным минфина, только за этот год долг Владимирской области вырос на 400 млн рублей. Основным источником роста долговой нагрузки стали инфраструктурные бюджетные кредиты, которые область активно привлекает на реализацию различных проектов.
Отметим, что политика кредитования была заявлена Александром Авдеевым сразу после его назначения врио губернатора в 2021 году. Тогда, по его словам, было получено одобрение вице-премьера Марата Хуснуллина на получение ИБК в размере 5,4 млрд рублей. Эти средства были направлены на финансирование спорного проекта Доброграда и реконструкцию котельных в Александровском районе.
В 2022 году минстрой России выделил региону еще 1,8 млрд рублей на четыре инфраструктурных проекта, включая поддержку строительства нового жилья, ремонт дорог, закупку троллейбусов и модернизацию коммунальных сетей. В прошлом году на кредитные 2 млрд рублей во Владимире был обновлен парк общественного транспорта – закуплено 100 автобусов. Оказалось, что даже такого количество недостаточно, чтобы кардинально улучшить ситуацию с общественным транспортом, поэтому не исключено, что впереди нас ждет еще один кредит.
Несмотря на то что все эти инвестиции позиционируются как вложения в комфорт и благополучие жителей, прямой прибыли они не приносят. Даже с учетом низких процентных ставок по госкредитам, возвращать столь значительные суммы бюджету региона будет непросто. Особенно с тем учетом, что нынешнего губернатора с Владимирской областью ничего не связывает, и он может перейти на другую должность в любой момент. Списали же региону всего 0,1% госдолга.


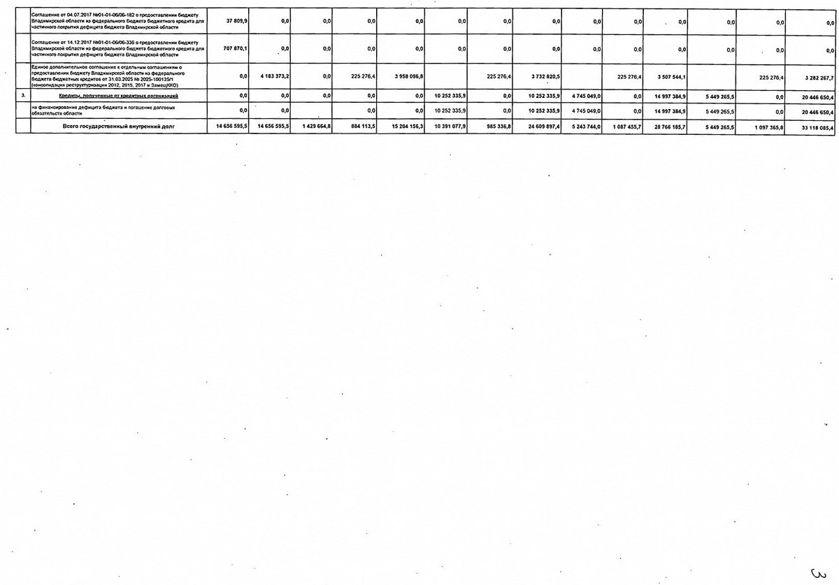
Добавим, что, по проекту областного бюджета на 2026-2028 годы, дефицит региональной казны в следующем году составит 11,4 млрд рублей, а за три года – более 20 млрд. Верхний предел госдолга установят на отметке 24,6 млрд, но в 2028-м ее повысят до 33,1 млрд рублей. Белый дом рассчитывает снизить размер долга по бюджетным кредитам к 1 января 2028 года до 13,7 млрд, при этом гасить придется примерно по миллиарду рублей в год. В то же время уже в следующем году власти хотят взять коммерческие кредиты в сумме 10,2 млрд рублей, а за три года – получить от банков 20,4 млрд рублей. Так и выйдет, что общий размер госдолга Владимирской области к 2029 году достигнет 33 млрд рублей.



Для отправки комментария необходимо войти на сайт.